Упражнение 772 ГДЗ Колягин Ткачёва 7 класс (Алгебра)
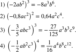
Возвести одночлен в степень: 1) (-2ab^2 )^3; 2) (-0,8ac^2 )^2; 3) (-3/5 abc^3 )^3; 4) (-1/2 ab^2 c^3 )^4. Найти координаты точки пересечения прямых:


Ниже вариант решения задания из учебника Колягин, Ткачёва, Фёдорова 7 класс, Просвещение:
Возвести одночлен в степень:
1) (-2ab^2 )^3;
2) (-0,8ac^2 )^2;
3) (-3/5 abc^3 )^3;
4) (-1/2 ab^2 c^3 )^4.
Найти координаты точки пересечения прямых:
1) y=4x-6 и y=3x-2;
2) y=3x-1 и y=-5/3 x+8/3.
