Упражнение 777 ГДЗ Колягин Ткачёва 7 класс (Алгебра)
Упростить: 1) (a+1)(a-1)(a^2+1); 2) (1-2b)(1+2b)(1+4b^2 ); 3) (2ab^2+3)(3-2ab^2 )+4a^2 b^4; 4) (a/2-5)(5+a/2)+25. За две пары гольф и три пары носков заплатили 360 р.


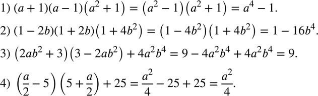
Ниже вариант решения задания из учебника Колягин, Ткачёва, Фёдорова 7 класс, Просвещение:
Упростить:
1) (a+1)(a-1)(a^2+1);
2) (1-2b)(1+2b)(1+4b^2 );
3) (2ab^2+3)(3-2ab^2 )+4a^2 b^4;
4) (a/2-5)(5+a/2)+25.
За две пары гольф и три пары носков заплатили 360 р. Сколько стоит пара гольф и пара носков, если 1 пара гольф и 4 пары носков стоят 330 р.?
