Упражнение 776 ГДЗ Колягин Ткачёва 7 класс (Алгебра)
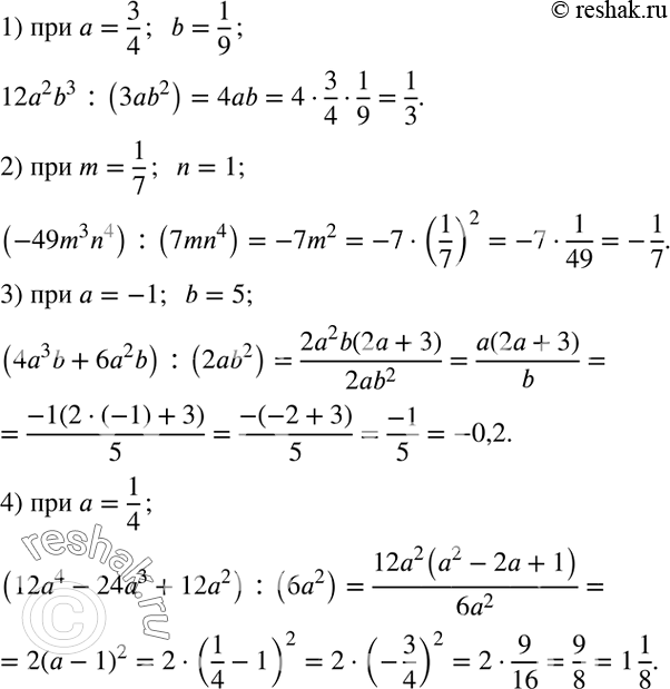
Найти значение выражения: 1) 12a^2 b^3 :(3ab^2 ) при a=3/4; b=1/9; 2) (-49m^3 n^4 ) :(7mn^4 ) при m=1/7; n=1; 3) (4a^3 b+6a^2 b) :(2ab^2 ) при a=-1;


Ниже вариант решения задания из учебника Колягин, Ткачёва, Фёдорова 7 класс, Просвещение:
Найти значение выражения:
1) 12a^2 b^3 :(3ab^2 ) при a=3/4; b=1/9;
2) (-49m^3 n^4 ) :(7mn^4 ) при m=1/7; n=1;
3) (4a^3 b+6a^2 b) :(2ab^2 ) при a=-1; b=5;
4) (12a^4-24a^3+12a^2 ) :(6a^2 ) при a=1/4.
В первом баке в 4 раза больше жидкости, чем во втором. Когда из первого бака перелили 10 л жидкости во второй, оказалось, что во втором баке стало в 1,5 раза больше жидкости, чем осталось в первом баке. Сколько жидкости было в каждом баке первоначально?
