Упражнение 778 ГДЗ Колягин Ткачёва 7 класс (Алгебра)
Упростить: 1) (a+3)^2+(a-3)^2; 2) (4a+b)^2-(4a-b)^2; 3) (2-a/b)^2-a^2/b^2 . Если к числителю некоторой дроби прибавить 3, а знаменатель оставить без изменения, то получится 1;


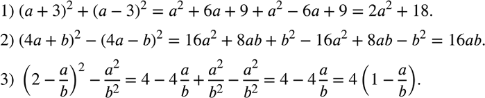
Ниже вариант решения задания из учебника Колягин, Ткачёва, Фёдорова 7 класс, Просвещение:
Упростить:
1) (a+3)^2+(a-3)^2;
2) (4a+b)^2-(4a-b)^2;
3) (2-a/b)^2-a^2/b^2 .
Если к числителю некоторой дроби прибавить 3, а знаменатель оставить без изменения, то получится 1; если к знаменателю исходной дроби прибавить 2, не меняя её числитель, то получится дробь, равная 1/2. Найти исходную дробь.
