Упражнение 779 ГДЗ Колягин Ткачёва 7 класс (Алгебра)
Разложить на множители: 1) a^4+6a^3+9a^2; 2) 4+8b+4b^2; 3) (1-a)^2-4; 4) 25-(2-3a)^2. Теплоход прошел по реке расстояние между двумя пристанями, равное 80 км, за 3 ч 20 мин по течению реки и за 5 ч против течения.


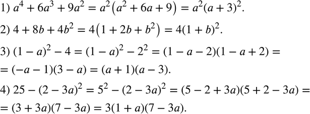
Ниже вариант решения задания из учебника Колягин, Ткачёва, Фёдорова 7 класс, Просвещение:
Разложить на множители:
1) a^4+6a^3+9a^2;
2) 4+8b+4b^2;
3) (1-a)^2-4;
4) 25-(2-3a)^2.
Теплоход прошел по реке расстояние между двумя пристанями, равное 80 км, за 3 ч 20 мин по течению реки и за 5 ч против течения. Найти скорость течения реки и собственную скорость теплохода.
