Упражнение 846 ГДЗ Колягин Ткачёва 7 класс (Алгебра)
Разложить на множители: 1) a^4+2a^2-3; 2) a^4+4; 3) a^5+a^2-a-1; 4) a^4-a^3-5a^2-a-6. *Цитирирование задания со ссылкой на учебник производится исключительно в учебных целях для лучшего понимания разбора решения задания.

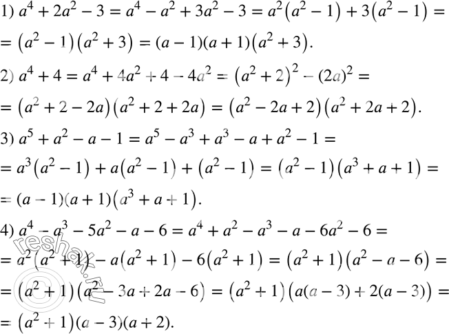
Ниже вариант решения задания из учебника Колягин, Ткачёва, Фёдорова 7 класс, Просвещение:
Разложить на множители:
1) a^4+2a^2-3;
2) a^4+4;
3) a^5+a^2-a-1;
4) a^4-a^3-5a^2-a-6.
