Упражнение 845 ГДЗ Колягин Ткачёва 7 класс (Алгебра)
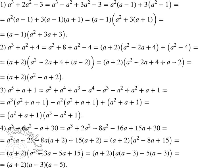
Разложить на множители: 1) a^3+2a^2-3; 2) a^3+a^2+4; 3) a^5+a+1; 4) a^3-6a^2-a+30. *Цитирирование задания со ссылкой на учебник производится исключительно в учебных целях для лучшего понимания разбора решения задания.

Ниже вариант решения задания из учебника Колягин, Ткачёва, Фёдорова 7 класс, Просвещение:
Разложить на множители:
1) a^3+2a^2-3;
2) a^3+a^2+4;
3) a^5+a+1;
4) a^3-6a^2-a+30.
