Вводные упражнения 24 ГДЗ Колягин Ткачёва 7 класс (Алгебра)
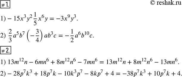
Записать в виде одночлена стандартного вида: 1)-15x^3 y^2 1/5 x^6 y; 2) 2/3 a^5 b^7 (-3/4)ab^3 c. 2. Записать в стандартном виде многочлен:

Ниже вариант решения задания из учебника Колягин, Ткачёва, Фёдорова 7 класс, Просвещение:
Записать в виде одночлена стандартного вида:
1)-15x^3 y^2 1/5 x^6 y; 2) 2/3 a^5 b^7 (-3/4)ab^3 c.
2. Записать в стандартном виде многочлен:
1) 13m^12 n-6mn^6+8m^12 n^6-7mn^6; 2)-28p^7 k^3+18p^7 k-10k^3 p^7-8kp^7+4.
