Упражнение 433 ГДЗ Колягин Ткачёва 7 класс (Алгебра)
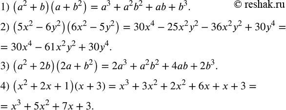
Выполнить умножение многочленов: 1) (a^2+b)(a+b^2 ); 2) (5x^2-6y^2 )(6x^2-5y^2 ); 3) (a^2+2b)(2a+b^2 ); 4) (x^2+2x+1)(x+3). Показать, что данные две дроби равны:


Ниже вариант решения задания из учебника Колягин, Ткачёва, Фёдорова 7 класс, Просвещение:
Выполнить умножение многочленов:
1) (a^2+b)(a+b^2 );
2) (5x^2-6y^2 )(6x^2-5y^2 );
3) (a^2+2b)(2a+b^2 );
4) (x^2+2x+1)(x+3).
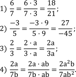
Показать, что данные две дроби равны:
1) 6/7 и 18/21;
2) (-3)/5 и 27/(-45);
3) 2/3 и 2a/3a;
4) 2a/7b и (2a^2 b)/(7ab^2 ).
