Упражнение 434 ГДЗ Колягин Ткачёва 7 класс (Алгебра)
Выполнить умножение многочленов: 1) (2a-b)(4a^2+2ab+b^2 ); 2) (3a-2b)(9a^2+6ab+4b^2 ); 3) (5x+3y)(25x^2-15xy+9y^2 ); 4) (3a+2b)(9a^2-6ab+4b^2 ). Сократить дробь: 1) (-48)/(-56); 2) (-64)/(-80);


Ниже вариант решения задания из учебника Колягин, Ткачёва, Фёдорова 7 класс, Просвещение:
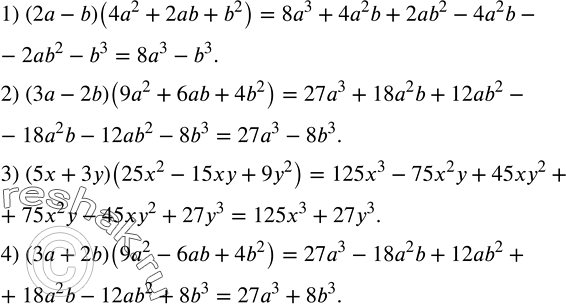
Выполнить умножение многочленов:
1) (2a-b)(4a^2+2ab+b^2 );
2) (3a-2b)(9a^2+6ab+4b^2 );
3) (5x+3y)(25x^2-15xy+9y^2 );
4) (3a+2b)(9a^2-6ab+4b^2 ).
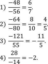
Сократить дробь:
1) (-48)/(-56);
2) (-64)/(-80);
3) (-121)/55;
4) 28/(-14).
