Упражнение 432 ГДЗ Колягин Ткачёва 7 класс (Алгебра)
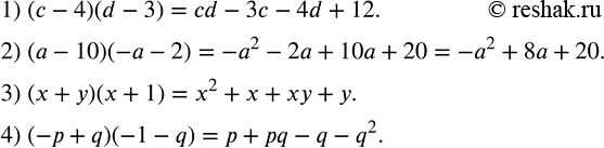
Выполнить умножение многочленов: 1) (c-4)(d-3); 2) (a-10)(-a-2); 3) (x+y)(x+1); 4) (-p+q)(-1-q). Используя основное свойство дроби, заменить букву a алгебраическим или числовым выражением так, чтобы равенство было верным:


Ниже вариант решения задания из учебника Колягин, Ткачёва, Фёдорова 7 класс, Просвещение:
Выполнить умножение многочленов:
1) (c-4)(d-3);
2) (a-10)(-a-2);
3) (x+y)(x+1);
4) (-p+q)(-1-q).
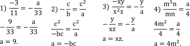
Используя основное свойство дроби, заменить букву a алгебраическим или числовым выражением так, чтобы равенство было верным:
1) (-3)/11=-a/33;
2) -c/b=c^2/a;
3) (-xy)/(x^2 z)=-y/a;
4) (m^3 n)/mn=a/4.
