Упражнение 435 ГДЗ Колягин Ткачёва 7 класс (Алгебра)
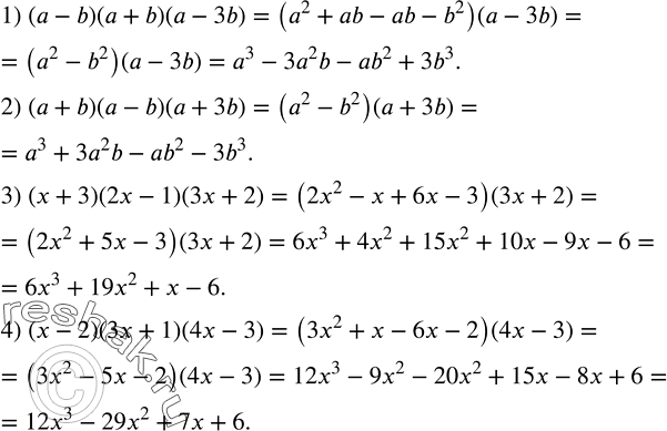
Выполнить умножение многочленов: 1) (a-b)(a+b)(a-3b); 2) (a+b)(a-b)(a+3b); 3) (x+3)(2x-1)(3x+2); 4) (x-2)(3x+1)(4x-3). Сократить дробь: 1) 6ab/(-4a); 2) (-14c)/49c; 3) (-a^4 b)/(-ab^3 );


Ниже вариант решения задания из учебника Колягин, Ткачёва, Фёдорова 7 класс, Просвещение:
Выполнить умножение многочленов:
1) (a-b)(a+b)(a-3b);
2) (a+b)(a-b)(a+3b);
3) (x+3)(2x-1)(3x+2);
4) (x-2)(3x+1)(4x-3).
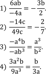
Сократить дробь:
1) 6ab/(-4a);
2) (-14c)/49c;
3) (-a^4 b)/(-ab^3 );
4) (3a^2 b)/(9a^3 ).
