Упражнение 10.8 ГДЗ Мордкович Семенов 9 класс (Алгебра)
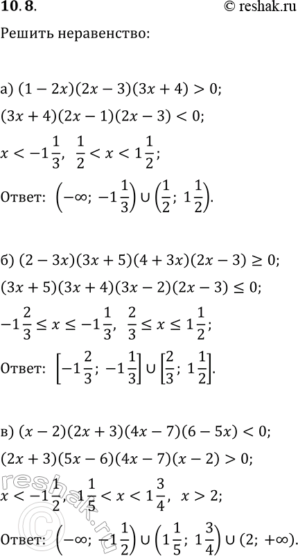
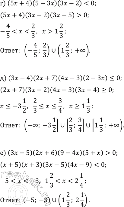
10.8. Решить неравенство: а) (1-2x)(2x-3)(3x+4) > 0; б) (2-3x)(3x+5)(4+3x)(2x-3)?0; в) (x-2)(2x+3)(4x-7)(6-5x) г) (5x+4)(5-3x)(3x-2) д) (3x-4)(2x+7)(4x-3)(2-3x)?0; е) (3x-5)(2x+6)(9-4x)(5+x) > 0. *Цитирирование задания со ссылкой на учебник производится исключительно в учебных целях для лучшего понимания разбора решения задания.
Ниже вариант решения задания из учебника Мордкович, Семенов, Александрова 9 класс, Бином:
10.8. Решить неравенство:
а) (1-2x)(2x-3)(3x+4) > 0;
б) (2-3x)(3x+5)(4+3x)(2x-3)?0;
в) (x-2)(2x+3)(4x-7)(6-5x)
г) (5x+4)(5-3x)(3x-2)
д) (3x-4)(2x+7)(4x-3)(2-3x)?0;
е) (3x-5)(2x+6)(9-4x)(5+x) > 0.


