Упражнение 11.10 ГДЗ Мордкович Семенов 9 класс (Алгебра)
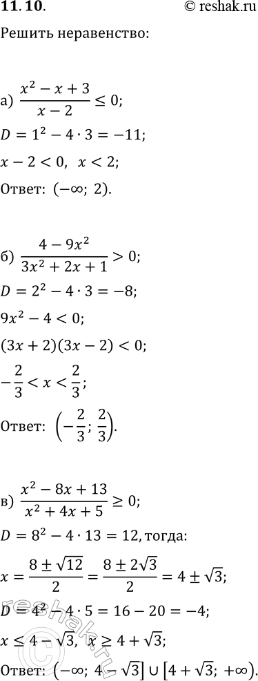
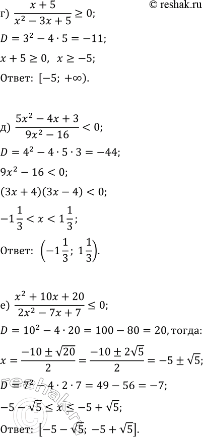
11.10. Решите неравенство: а) (x^2-x+3)/(x-2)?0; г) (x+5)/(x^2-3x+5)?0; б) (4-9x^2)/(3x^2+2x+1) > 0; д) (5x^2-4x+3)/(9x^2-16) в) (x^2-8x+13)/(x^2+4x+5)?0; е) (x^2+10x+20)/(2x^2-7x+7)?0. *Цитирирование задания со ссылкой на учебник производится исключительно в учебных целях для лучшего понимания разбора решения задания.


Ниже вариант решения задания из учебника Мордкович, Семенов, Александрова 9 класс, Бином:
11.10. Решите неравенство:
а) (x^2-x+3)/(x-2)?0; г) (x+5)/(x^2-3x+5)?0;
б) (4-9x^2)/(3x^2+2x+1) > 0; д) (5x^2-4x+3)/(9x^2-16)
в) (x^2-8x+13)/(x^2+4x+5)?0; е) (x^2+10x+20)/(2x^2-7x+7)?0.
