Упражнение 15.4 ГДЗ Мордкович Семенов 9 класс (Алгебра)
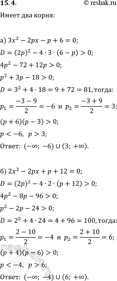
15.4. а) При каких значениях параметра р квадратное уравнение 3x^2-2px-p+6=0 имеет два различных корня? б) При каких значениях параметра р квадратное уравнение 2x^2-2px+p+12=0 имеет два различных корня?

Ниже вариант решения задания из учебника Мордкович, Семенов, Александрова 9 класс, Бином:
15.4. а) При каких значениях параметра р квадратное уравнение 3x^2-2px-p+6=0 имеет два различных корня?
б) При каких значениях параметра р квадратное уравнение 2x^2-2px+p+12=0 имеет два различных корня?
