Упражнение 15.11 ГДЗ Мордкович Семенов 9 класс (Алгебра)
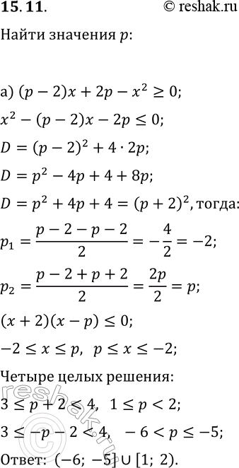
15.11. а) Найдите все значения параметра р, при которых в множестве решений неравенства (p-2)x+2p-x^2?0 содержатся ровно четыре целых числа. б) Найдите все значения параметра р, при которых в множестве решений неравенства (p-2)x+2p-x^2?0 содержится единственное целое значение.


Ниже вариант решения задания из учебника Мордкович, Семенов, Александрова 9 класс, Бином:
15.11. а) Найдите все значения параметра р, при которых в множестве решений неравенства (p-2)x+2p-x^2?0 содержатся ровно четыре целых числа.
б) Найдите все значения параметра р, при которых в множестве решений неравенства (p-2)x+2p-x^2?0 содержится единственное целое значение.
