Упражнение 15.6 ГДЗ Мордкович Семенов 9 класс (Алгебра)
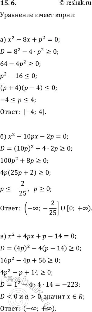
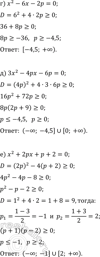
15.6. Найдите все значения параметра р, при которых уравнение имеет действительные корни: а) x^2-8x+p^2=0; г) x^2-6x-2p=0; б) x^2-10px-2p=0; д) 3x^2-4px-6p=0; в) x^2+4px+p-14=0;


Ниже вариант решения задания из учебника Мордкович, Семенов, Александрова 9 класс, Бином:
15.6. Найдите все значения параметра р, при которых уравнение имеет действительные корни:
а) x^2-8x+p^2=0; г) x^2-6x-2p=0;
б) x^2-10px-2p=0; д) 3x^2-4px-6p=0;
в) x^2+4px+p-14=0; е) x^2+2px+p+2=0.
