Упражнение 15.7 ГДЗ Мордкович Семенов 9 класс (Алгебра)
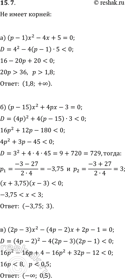
15.7. Найдите все значения параметра р, при которых уравнение не имеет действительных корней: а) (p-1)x^2-4x+5=0; б) (p-15)x^2+4px-3=0; в) (2p-3)x^2-(4p-2)x+2p-1=0; г) (2p+3)x^2-6x+8=0;


Ниже вариант решения задания из учебника Мордкович, Семенов, Александрова 9 класс, Бином:
15.7. Найдите все значения параметра р, при которых уравнение не имеет действительных корней:
а) (p-1)x^2-4x+5=0;
б) (p-15)x^2+4px-3=0;
в) (2p-3)x^2-(4p-2)x+2p-1=0;
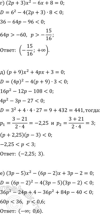
г) (2p+3)x^2-6x+8=0;
д) (p+9)x^2+4px+3=0;
е) (3p-5)x^2-(6p-2)x+3p-2=0.
