Упражнение 15.5 ГДЗ Мордкович Семенов 9 класс (Алгебра)
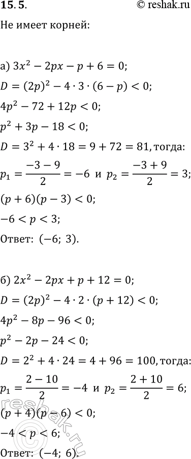
15.5. а) При каких значениях параметра р квадратное уравнение 3x^2-2px-p+6=0 не имеет корней? б) При каких значениях параметра р квадратное уравнение 2x^2-2px+p+12=0 не имеет корней?

Ниже вариант решения задания из учебника Мордкович, Семенов, Александрова 9 класс, Бином:
15.5. а) При каких значениях параметра р квадратное уравнение 3x^2-2px-p+6=0 не имеет корней?
б) При каких значениях параметра р квадратное уравнение 2x^2-2px+p+12=0 не имеет корней?
