Упражнение 26.10 ГДЗ Мордкович Семенов 9 класс (Алгебра)
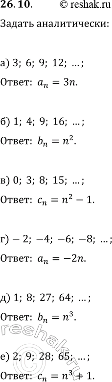
26.10. Задайте аналитически данную последовательность: а) 3, 6, 9, 12, ...; г) -2, -4, -6, -8, ...; б) 1, 4, 9, 16, ...;

Ниже вариант решения задания из учебника Мордкович, Семенов, Александрова 9 класс, Бином:
26.10. Задайте аналитически данную последовательность:
а) 3, 6, 9, 12, ...; г) -2, -4, -6, -8, ...;
б) 1, 4, 9, 16, ...; д) 1, 8, 27, 64, ...;
в) 0, 3, 8, 15, ...; е) 2, 9, 28, 65, ... .
