Упражнение 26.11 ГДЗ Мордкович Семенов 9 класс (Алгебра)
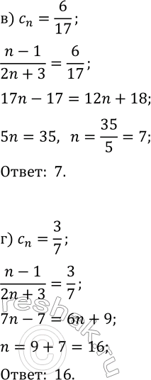
26.11. Укажите номер члена последовательности c_n=(n-1)/(2n+3), равного: а) 1/11; б) 9/23; в) 6/17; г) 3/7. *Цитирирование задания со ссылкой на учебник производится исключительно в учебных целях для лучшего понимания разбора решения задания.


Ниже вариант решения задания из учебника Мордкович, Семенов, Александрова 9 класс, Бином:
26.11. Укажите номер члена последовательности c_n=(n-1)/(2n+3), равного:
а) 1/11; б) 9/23; в) 6/17; г) 3/7.
