Упражнение 26.12 ГДЗ Мордкович Семенов 9 класс (Алгебра)
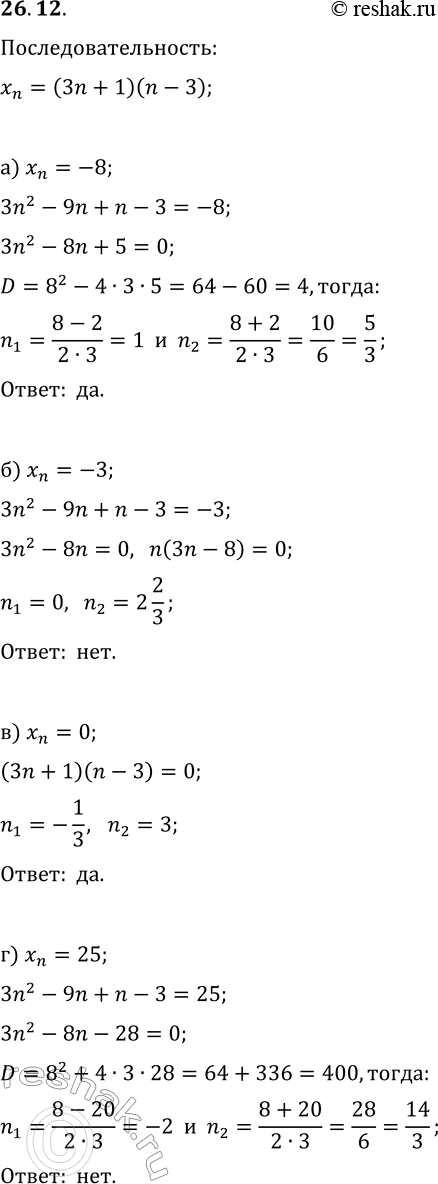
26.12. Последовательность задана формулой x_n=(3n+1)(n-3). Является ли членом последовательности число: а) -8; б) -3; в) 0; г) 25? *Цитирирование задания со ссылкой на учебник производится исключительно в учебных целях для лучшего понимания разбора решения задания.

Ниже вариант решения задания из учебника Мордкович, Семенов, Александрова 9 класс, Бином:
26.12. Последовательность задана формулой x_n=(3n+1)(n-3). Является ли членом последовательности число:
а) -8; б) -3; в) 0; г) 25?
