Упражнение 28.26 ГДЗ Мордкович Семенов 9 класс (Алгебра)
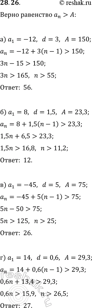
28.26. Найдите номер члена арифметической прогрессии (a_n), начиная с которого выполняется неравенство a_n > A, если: а) a_1=-12, d=3, A=150; в) a_1=-45, d=5, A=75;

Ниже вариант решения задания из учебника Мордкович, Семенов, Александрова 9 класс, Бином:
28.26. Найдите номер члена арифметической прогрессии (a_n), начиная с которого выполняется неравенство a_n > A, если:
а) a_1=-12, d=3, A=150; в) a_1=-45, d=5, A=75;
б) a_1=8, d=1,5, A=23,3; г) a_1=14, d=0,6, A=29,3.
