Упражнение 28.24 ГДЗ Мордкович Семенов 9 класс (Алгебра)
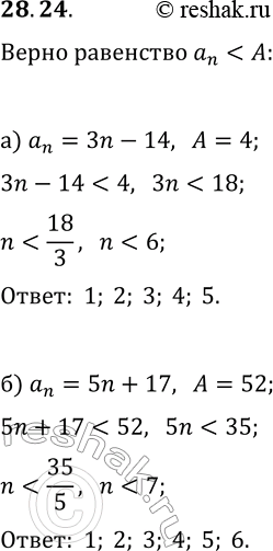
28.24. Найдите номера членов арифметической прогрессии (a_n), для которых выполняется неравенство a_n а) a_n=3n-14, A=4; б) a_n=5n+17, A=52. *Цитирирование задания со ссылкой на учебник производится исключительно в учебных целях для лучшего понимания разбора решения задания.

Ниже вариант решения задания из учебника Мордкович, Семенов, Александрова 9 класс, Бином:
28.24. Найдите номера членов арифметической прогрессии (a_n), для которых выполняется неравенство a_n
а) a_n=3n-14, A=4; б) a_n=5n+17, A=52.
