Упражнение 28.27 ГДЗ Мордкович Семенов 9 класс (Алгебра)
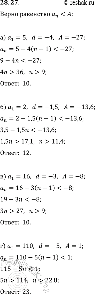
28.27. Найдите номер члена арифметической прогрессии (a_n), начиная с которого выполняется неравенство a_n а) a_1=5, d=-4, A=-27; в) a_1=16, d=-3, A=-8;

Ниже вариант решения задания из учебника Мордкович, Семенов, Александрова 9 класс, Бином:
28.27. Найдите номер члена арифметической прогрессии (a_n), начиная с которого выполняется неравенство a_n
а) a_1=5, d=-4, A=-27; в) a_1=16, d=-3, A=-8;
б) a_1=2, d=-1,5, A=-13,6; г) a_1=110, d=-5, A=1.
