Упражнение 28.28 ГДЗ Мордкович Семенов 9 класс (Алгебра)
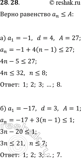
28.28. Укажите номера членов арифметической прогрессии (a_n), для которых выполняется неравенство a_n?A, если: а) a_1=-1, d=4, A=27; б) a_1=-17, d=3, A=1.

Ниже вариант решения задания из учебника Мордкович, Семенов, Александрова 9 класс, Бином:
28.28. Укажите номера членов арифметической прогрессии (a_n), для которых выполняется неравенство a_n?A, если:
а) a_1=-1, d=4, A=27; б) a_1=-17, d=3, A=1.
