Упражнение 28.25 ГДЗ Мордкович Семенов 9 класс (Алгебра)
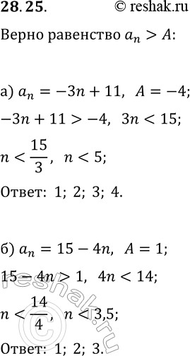
28.25. Найдите номера членов арифметической прогрессии (a_n), для которых выполняется неравенство a_n > A, если: а) a_n=-3n+11, A=-4; б) a_n=15-4n, A=1.

Ниже вариант решения задания из учебника Мордкович, Семенов, Александрова 9 класс, Бином:
28.25. Найдите номера членов арифметической прогрессии (a_n), для которых выполняется неравенство a_n > A, если:
а) a_n=-3n+11, A=-4; б) a_n=15-4n, A=1.
