Упражнение 3.22 ГДЗ Мордкович Семенов 9 класс (Алгебра)
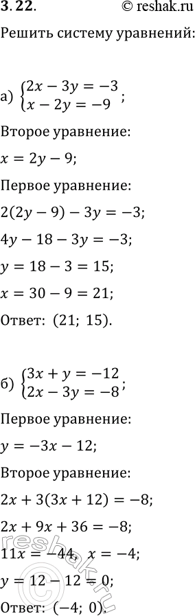
3.22. Решите систему линейных уравнений: а) {2x-3y=-3, x-3y=-9}; в) {-7x+4y=9, 3x-y=-6}; б) {3x+y=-12, 2x-3y=-8}; г) {2x+5y=42, 3x-y=12}. *Цитирирование задания со ссылкой на учебник производится исключительно в учебных целях для лучшего понимания разбора решения задания.


Ниже вариант решения задания из учебника Мордкович, Семенов, Александрова 9 класс, Бином:
3.22. Решите систему линейных уравнений:
а) {2x-3y=-3, x-3y=-9}; в) {-7x+4y=9, 3x-y=-6};
б) {3x+y=-12, 2x-3y=-8}; г) {2x+5y=42, 3x-y=12}.
