Упражнение 31.14 ГДЗ Мордкович Семенов 9 класс (Алгебра)
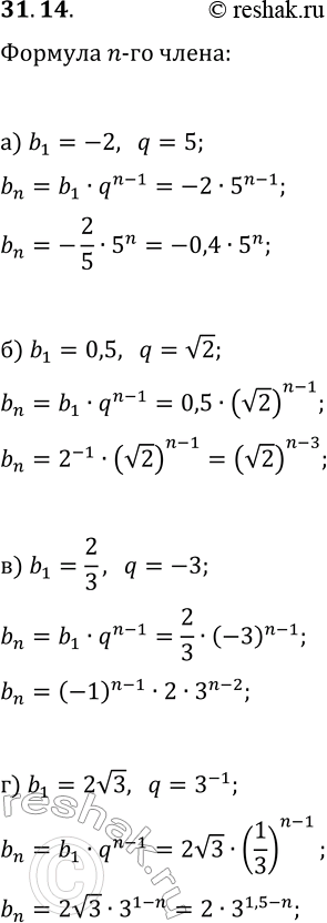
31.14. Составьте формулу n-го члена геометрической прогрессии (b_n), если: а) b_1=-2, q=5; в) b_1=2/3, q=-3; б) b_1=0,5, q=v2; г) b_1=2v3, q=3^(-1).

Ниже вариант решения задания из учебника Мордкович, Семенов, Александрова 9 класс, Бином:
31.14. Составьте формулу n-го члена геометрической прогрессии (b_n), если:
а) b_1=-2, q=5; в) b_1=2/3, q=-3;
б) b_1=0,5, q=v2; г) b_1=2v3, q=3^(-1).
