Упражнение 31.10 ГДЗ Мордкович Семенов 9 класс (Алгебра)
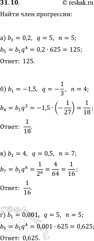
31.10. Дана конечная геометрическая прогрессия (b_n). Найдите b_n, если: а) b_1=0,2, q=5, n=5; в) b_1=4, q=0,5, n=7; б) b_1=-1,5, q=-1/3, n=4;

Ниже вариант решения задания из учебника Мордкович, Семенов, Александрова 9 класс, Бином:
31.10. Дана конечная геометрическая прогрессия (b_n). Найдите b_n, если:
а) b_1=0,2, q=5, n=5; в) b_1=4, q=0,5, n=7;
б) b_1=-1,5, q=-1/3, n=4; г) b_1=0,001, q=5, n=5.
