Упражнение 31.9 ГДЗ Мордкович Семенов 9 класс (Алгебра)
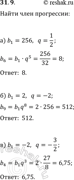
31.9. Последовательность (b_n) — геометрическая прогрессия. Haйдите: а) b_6, если b_1=256, q=1/2; г) b_5, если b_1=81, q=1/3; б) b_9, если b_1=2, q=-2;


Ниже вариант решения задания из учебника Мордкович, Семенов, Александрова 9 класс, Бином:
31.9. Последовательность (b_n) — геометрическая прогрессия. Haйдите:
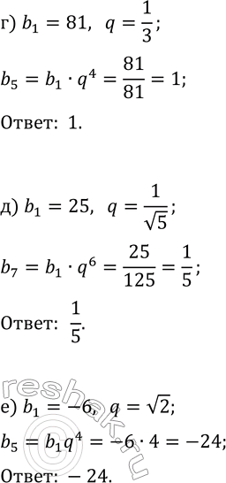
а) b_6, если b_1=256, q=1/2; г) b_5, если b_1=81, q=1/3;
б) b_9, если b_1=2, q=-2; д) b_7, если b_1=25, q=1/v5;
в) b_4, если b_1=-2, q=-3/2; е) b_5, если b_1=-6, q=v2.
