Упражнение 31.8 ГДЗ Мордкович Семенов 9 класс (Алгебра)
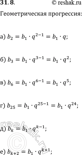
31.8. Выразите данный член геометрической прогрессии (b_n) через b_1 и q: а) b_2; в) b_6; д) b_k; б) b_3; г) b_25;

Ниже вариант решения задания из учебника Мордкович, Семенов, Александрова 9 класс, Бином:
31.8. Выразите данный член геометрической прогрессии (b_n) через b_1 и q:
а) b_2; в) b_6; д) b_k;
б) b_3; г) b_25; е) b_(k+2).
