Упражнение 31.7 ГДЗ Мордкович Семенов 9 класс (Алгебра)
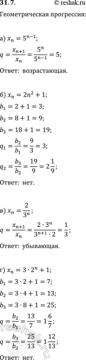
31.7. Является ли последовательность, заданная формулой n-го члена, геометрической прогрессией? Если является, то установите характер её монотонности: а) x_n=5^(n-1); в) x_n=2/3^n;

Ниже вариант решения задания из учебника Мордкович, Семенов, Александрова 9 класс, Бином:
31.7. Является ли последовательность, заданная формулой n-го члена, геометрической прогрессией? Если является, то установите характер её монотонности:
а) x_n=5^(n-1); в) x_n=2/3^n;
б) x_n=2n^2+1; г) x_n=3·2^n+1.
