Упражнение 32.10 ГДЗ Мордкович Семенов 9 класс (Алгебра)
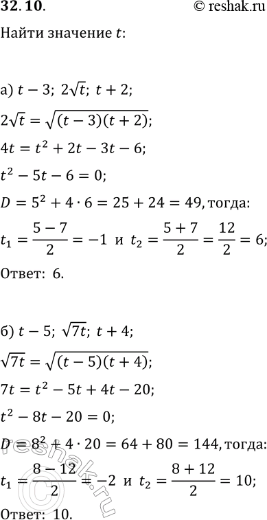
32.10. а) Найдите значение t, при котором числа t-3, 2vt, t+2 являются тремя последовательными членами геометрической последовательности. б) Найдите значение t, при котором числа t-5, v(7t), t+4 являются тремя последовательными членами геометрической последовательности.

Ниже вариант решения задания из учебника Мордкович, Семенов, Александрова 9 класс, Бином:
32.10. а) Найдите значение t, при котором числа t-3, 2vt, t+2 являются тремя последовательными членами геометрической последовательности.
б) Найдите значение t, при котором числа t-5, v(7t), t+4 являются тремя последовательными членами геометрической последовательности.
