Упражнение 32.7 ГДЗ Мордкович Семенов 9 класс (Алгебра)
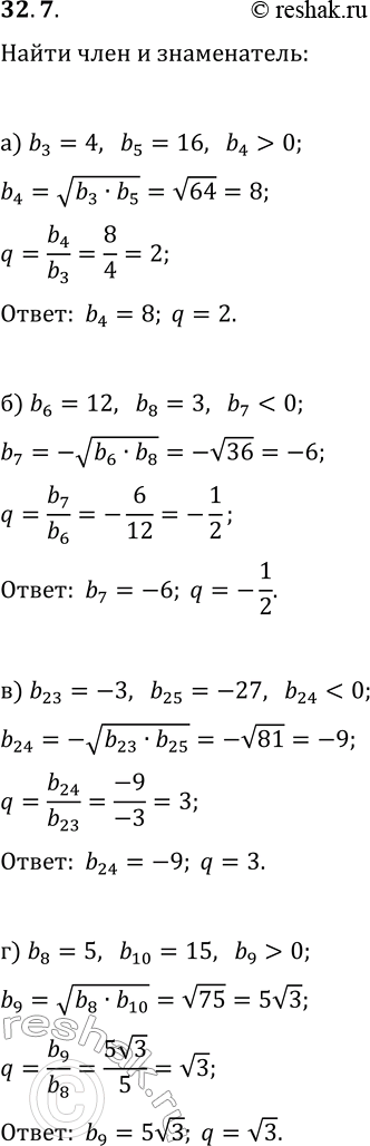
32.7. Дана геометрическая прогрессия (b_n). Найдите: а) b_4 и q, если b_3=4, b_5=16 и b_4 > 0; б) b_7 и q, если b_6=12, b_8=3 и b_7 в) b_24 и q, если b_23=-3, b_25=-27 и b_24 г) b_9 и q, если b_8=5, b_10=15 и b_9 >
Ниже вариант решения задания из учебника Мордкович, Семенов, Александрова 9 класс, Бином:
32.7. Дана геометрическая прогрессия (b_n). Найдите:
а) b_4 и q, если b_3=4, b_5=16 и b_4 > 0;
б) b_7 и q, если b_6=12, b_8=3 и b_7
в) b_24 и q, если b_23=-3, b_25=-27 и b_24
г) b_9 и q, если b_8=5, b_10=15 и b_9 > 0.

