Упражнение 32.9 ГДЗ Мордкович Семенов 9 класс (Алгебра)
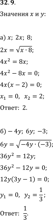
32.9. а) Найдите значения переменной x, при которых числа x, 2x, 8 являются тремя последовательными членами геометрической последовательности. б) Найдите значения переменной y, при которых числа -4y, 6y, -3 являются тремя последовательными членами геометрической последовательности.

Ниже вариант решения задания из учебника Мордкович, Семенов, Александрова 9 класс, Бином:
32.9. а) Найдите значения переменной x, при которых числа x, 2x, 8 являются тремя последовательными членами геометрической последовательности.
б) Найдите значения переменной y, при которых числа -4y, 6y, -3 являются тремя последовательными членами геометрической последовательности.
