Упражнение 32.6 ГДЗ Мордкович Семенов 9 класс (Алгебра)
32.6. В геометрической прогрессии (b_n), все члены которой целые числа, выбрали три числа, следующие друг за другом. При этом известно только среднее число.


Ниже вариант решения задания из учебника Мордкович, Семенов, Александрова 9 класс, Бином:
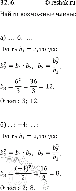
32.6. В геометрической прогрессии (b_n), все члены которой целые числа, выбрали три числа, следующие друг за другом. При этом известно только среднее число. Найдите возможные варианты двух крайних членов прогрессии:
а) ...; 6; ...; в) ...; 10; ...;
б) ...; -4; ...; г) ...; -9; ... .
