Упражнение 32.8 ГДЗ Мордкович Семенов 9 класс (Алгебра)
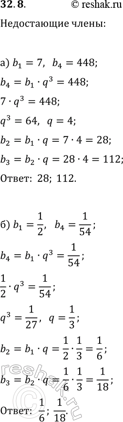
32.8. а) Между числами 7 и 448 вставьте два числа так, чтобы получились четыре последовательных члена геометрической прогрессии. б) Между числами 1/2 и 1/54 вставьте два числа так, чтобы получились четыре последовательных члена геометрической прогрессии.

Ниже вариант решения задания из учебника Мордкович, Семенов, Александрова 9 класс, Бином:
32.8. а) Между числами 7 и 448 вставьте два числа так, чтобы получились четыре последовательных члена геометрической прогрессии.
б) Между числами 1/2 и 1/54 вставьте два числа так, чтобы получились четыре последовательных члена геометрической прогрессии.
