Упражнение 32.16 ГДЗ Мордкович Семенов 9 класс (Алгебра)
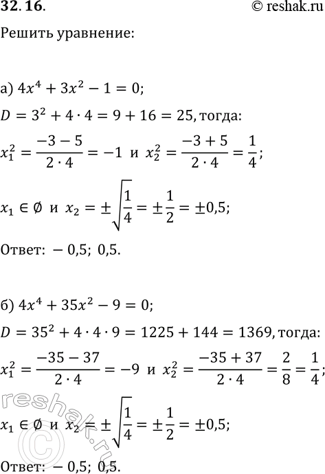
32.16. Решите уравнение: а) 4x^4+3x^2-1=0; б) 4x^4+35x^2-9=0. *Цитирирование задания со ссылкой на учебник производится исключительно в учебных целях для лучшего понимания разбора решения задания.

Ниже вариант решения задания из учебника Мордкович, Семенов, Александрова 9 класс, Бином:
32.16. Решите уравнение:
а) 4x^4+3x^2-1=0;
б) 4x^4+35x^2-9=0.
