Упражнение 33.1 ГДЗ Мордкович Семенов 9 класс (Алгебра)
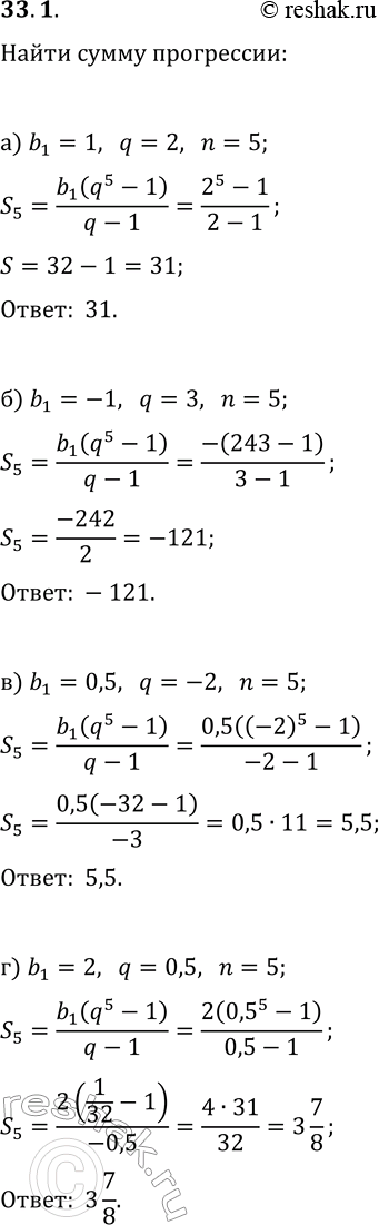
33.1. Найдите сумму первых пяти членов геометрической прогрессии (b_n), если: а) b_1=1, q=2; в) b_1=0,5, q=-2; б) b_1=-1, q=3; г) b_1=2, q=0,5.

Ниже вариант решения задания из учебника Мордкович, Семенов, Александрова 9 класс, Бином:
33.1. Найдите сумму первых пяти членов геометрической прогрессии (b_n), если:
а) b_1=1, q=2; в) b_1=0,5, q=-2;
б) b_1=-1, q=3; г) b_1=2, q=0,5.
