Упражнение 33.2 ГДЗ Мордкович Семенов 9 класс (Алгебра)
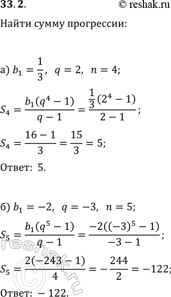
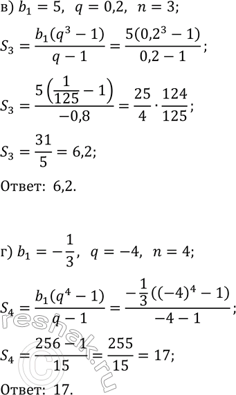
33.2. Найдите сумму первых n членов геометрической прогрессии (b_n), если: а) b_1=1/3, q=2, n=4; в) b_1=5, q=0,2, n=3; б) b_1=-2, q=-3, n=5;


Ниже вариант решения задания из учебника Мордкович, Семенов, Александрова 9 класс, Бином:
33.2. Найдите сумму первых n членов геометрической прогрессии (b_n), если:
а) b_1=1/3, q=2, n=4; в) b_1=5, q=0,2, n=3;
б) b_1=-2, q=-3, n=5; г) b_1=-1/3, q=-4, n=4.
