Упражнение 32.2 ГДЗ Мордкович Семенов 9 класс (Алгебра)
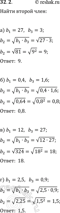
32.2. В геометрической прогрессии (b_n), все члены которой положительны, выбрали три числа, следующие друг за другом. При этом два из них известны, а одно нет.

Ниже вариант решения задания из учебника Мордкович, Семенов, Александрова 9 класс, Бином:
32.2. В геометрической прогрессии (b_n), все члены которой положительны, выбрали три числа, следующие друг за другом. При этом два из них известны, а одно нет. Найдите пропущенный член прогрессии:
а) 27; ...; 3; в) 12; ...; 27;
б) 0,4; ...; 1,6; г) 2,5; ...; 0,9.
