Упражнение 32.3 ГДЗ Мордкович Семенов 9 класс (Алгебра)
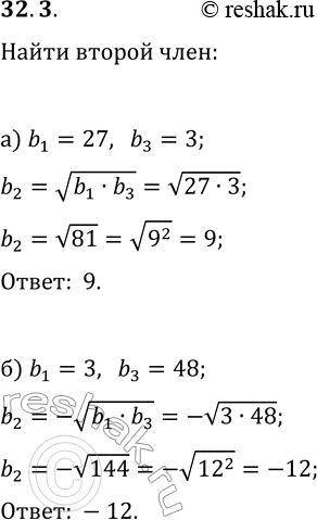
32.3. а) Между числами 27 и 3 вставьте положительное число так, чтобы получились три члена геометрической прогрессии. б) Между числами 3 и 48 вставьте отрицательное число так, чтобы получились три члена геометрической прогрессии.

Ниже вариант решения задания из учебника Мордкович, Семенов, Александрова 9 класс, Бином:
32.3. а) Между числами 27 и 3 вставьте положительное число так, чтобы получились три члена геометрической прогрессии.
б) Между числами 3 и 48 вставьте отрицательное число так, чтобы получились три члена геометрической прогрессии.
