Упражнение 32.4 ГДЗ Мордкович Семенов 9 класс (Алгебра)
32.4. В знакочередующейся геометрической прогрессии (b_n) выбрали три числа, следующие друг за другом. При этом два из них известны, а одно нет.

Ниже вариант решения задания из учебника Мордкович, Семенов, Александрова 9 класс, Бином:
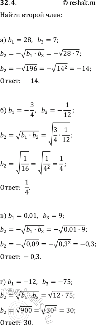
32.4. В знакочередующейся геометрической прогрессии (b_n) выбрали три числа, следующие друг за другом. При этом два из них известны, а одно нет. Найдите пропущенный член прогрессии:
а) 28; ...; 7; в) 0,01; ...; 9;
б) -3/4; ...; -1/12; г) -12; ...; -75.
