Упражнение 34.1 ГДЗ Мордкович Семенов 9 класс (Алгебра)
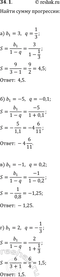
34.1. Найдите сумму геометрической прогрессии (b_n), если: а) b_1=3, q=1/3; в) b_1=-1, q=0,2; б) b_1=-5, q=-0,1; г) b_1=2, q=-1/3. *Цитирирование задания со ссылкой на учебник производится исключительно в учебных целях для лучшего понимания разбора решения задания.

Ниже вариант решения задания из учебника Мордкович, Семенов, Александрова 9 класс, Бином:
34.1. Найдите сумму геометрической прогрессии (b_n), если:
а) b_1=3, q=1/3; в) b_1=-1, q=0,2;
б) b_1=-5, q=-0,1; г) b_1=2, q=-1/3.
