Упражнение 34.5 ГДЗ Мордкович Семенов 9 класс (Алгебра)
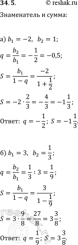
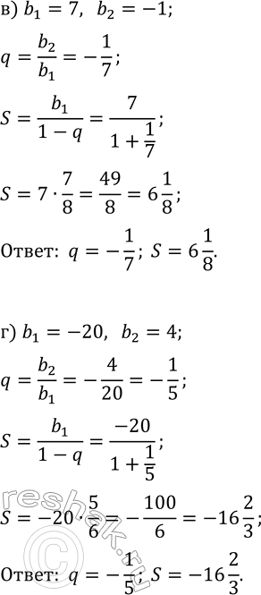
34.5. Найдите знаменатель и сумму геометрической прогрессии (b_n), если: а) b_1=-2, b_2=1; в) b_1=7, b_2=-1; б) b_1=3, b_2=1/3; г) b_1=-20, b_2=4.


Ниже вариант решения задания из учебника Мордкович, Семенов, Александрова 9 класс, Бином:
34.5. Найдите знаменатель и сумму геометрической прогрессии (b_n), если:
а) b_1=-2, b_2=1; в) b_1=7, b_2=-1;
б) b_1=3, b_2=1/3; г) b_1=-20, b_2=4.
