Упражнение 34.6 ГДЗ Мордкович Семенов 9 класс (Алгебра)
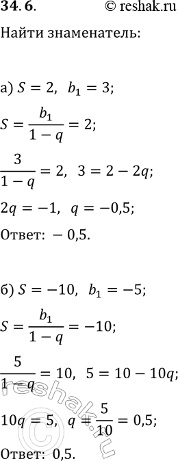
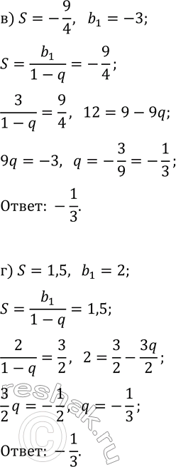
34.6. Найдите знаменатель геометрической прогрессии (b_n), если: а) S=2, b_1=3; в) S=-9/4, b_1=-3; б) S=-10, b_1=-5; г) S=1,5, b_1=2. *Цитирирование задания со ссылкой на учебник производится исключительно в учебных целях для лучшего понимания разбора решения задания.


Ниже вариант решения задания из учебника Мордкович, Семенов, Александрова 9 класс, Бином:
34.6. Найдите знаменатель геометрической прогрессии (b_n), если:
а) S=2, b_1=3; в) S=-9/4, b_1=-3;
б) S=-10, b_1=-5; г) S=1,5, b_1=2.
