Упражнение 34.2 ГДЗ Мордкович Семенов 9 класс (Алгебра)
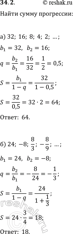
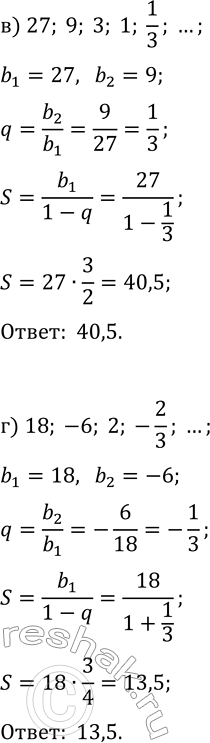
34.2. Найдите сумму геометрической прогрессии: а) 32, 16, 8, 4, 2, ...; в) 27, 9, 3, 1, 1/3, ...; б) 24, -8, 8/3, -8/9, ...;


Ниже вариант решения задания из учебника Мордкович, Семенов, Александрова 9 класс, Бином:
34.2. Найдите сумму геометрической прогрессии:
а) 32, 16, 8, 4, 2, ...; в) 27, 9, 3, 1, 1/3, ...;
б) 24, -8, 8/3, -8/9, ...; г) 18, -6, 2, -2/3, ... .
