Упражнение 34.3 ГДЗ Мордкович Семенов 9 класс (Алгебра)
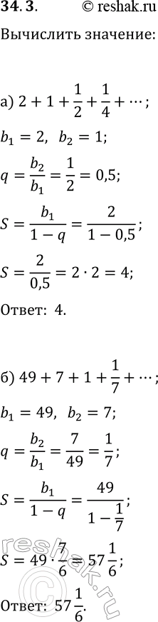
34.3. Вычислите: а) 2+1+1/2+1/4+...; в) 3/2-1+2/3-4/9+...; б) 49+7+1+1/7+1/7^2+...; г) 125+5+1+1/5+... . *Цитирирование задания со ссылкой на учебник производится исключительно в учебных целях для лучшего понимания разбора решения задания.


Ниже вариант решения задания из учебника Мордкович, Семенов, Александрова 9 класс, Бином:
34.3. Вычислите:
а) 2+1+1/2+1/4+...; в) 3/2-1+2/3-4/9+...;
б) 49+7+1+1/7+1/7^2+...; г) 125+5+1+1/5+... .
