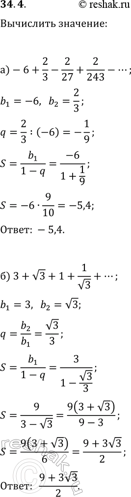
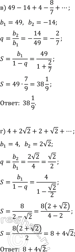
Упражнение 34.4 ГДЗ Мордкович Семенов 9 класс (Алгебра)
34.4. Вычислите: а) -6+2/3-2/27+2/243-...; в) 49-14+4-8/7+...; б) 3+v3+1+1/v3+...; г) 4+2v2+2+v2+... . *Цитирирование задания со ссылкой на учебник производится исключительно в учебных целях для лучшего понимания разбора решения задания.


Ниже вариант решения задания из учебника Мордкович, Семенов, Александрова 9 класс, Бином:
34.4. Вычислите:
а) -6+2/3-2/27+2/243-...; в) 49-14+4-8/7+...;
б) 3+v3+1+1/v3+...; г) 4+2v2+2+v2+... .
